Notice
Recent Posts
Recent Comments
반응형
Link
Toolofv 님의 블로그
[Python] 백준 - 7869 두 원 본문
백준 - 7869 두 원
첫째 줄에 두 원의 중심과 반지름 x1, y1, r1, x2, y2, r2가 주어진다. 실수는 최대 소수점 둘째자리까지 주어진다.
www.acmicpc.net

문제

두 원이 주어졌을 때, 교차하는 영역의 넓이를 소수점 셋째자리까지 구하는 프로그램을 작성하시오.
입력
첫째 줄에 두 원의 중심과 반지름 x1, y1, r1, x2, y2, r2가 주어진다. 실수는 최대 소수점 둘째자리까지 주어진다.
출력
첫째 줄에 교차하는 영역의 넓이를 반올림해 소수점 셋째자리까지 출력한다.
문제해결방법 - (서치 참조)


1. 겹치는 부분이 없을 때 : 0
2. 한 원이 다른 원 안에 포함될 때 : 작은 원의 넓이
3. 겹치는 부분을 계산해야 할 때 :
(큰 원 부채꼴 넓이 - 큰원의 내접한 삼각형 넓이) + (작은 원 부채꼴 넓이 - 작은 원의 내접한 삼각형의 넓이)
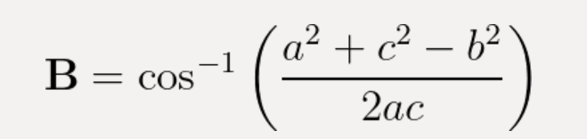
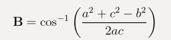
4-1. theta1, 2는 코사인 법칙을 역함수로 하는 파이썬 math.acos( )로 구할 수 있다.


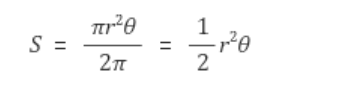
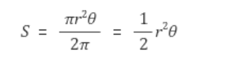
4-2. 파이썬의 math모듈의 삼각함수에 관련한 함수는 인자로 라디안 단위의 인자를 받아 연산한다.
라디안 단위로 보면 부채꼴의 넓이 공식은 아래와 같다.

4-2. 삼각형의 넓이를 구해준다.

- 코드
import sys
sys.setrecursionlimit(10**6)
import math
from collections import deque
input = sys.stdin.readline
x1, y1, r1, x2, y2, r2 = map(float, input().split())
def sol(x1, y1, r1, x2, y2, r2):
d = math.sqrt((x2-x1)**2 + (y2-y1)**2)
if d >= r1+r2:
return 0.000
elif d + min(r1, r2) <= max(r1, r2):
return math.pi * (min(r1, r2)**2)
else:
theta1 = math.acos((r1**2+d**2-r2**2)/(2*r1*d)) * 2
theta2 = math.acos((r2**2+d**2-r1**2)/(2*r2*d)) * 2
A = ((theta1 * (r1**2)) - (r1*(r1 * math.sin(theta1)))) / 2
B = ((theta2 * (r2**2)) - (r2*(r2 * math.sin(theta2)))) / 2
return A + B
res = float(round(sol(x1, y1, r1, x2, y2, r2), 3))
print(f"{res:.3f}")반응형
'Algorithm' 카테고리의 다른 글
| [Python] 백준 - 1086 박성원 (2) | 2024.08.03 |
|---|---|
| [Python] 백준 - 1311 할 일 정하기 1 (0) | 2024.07.31 |
| [Python] 백준 - 20149 선분 교차 3 (0) | 2024.07.25 |
| [Python] 백준 - 6549 히스토그램에서 가장 큰 직사각형 (2) | 2024.07.23 |
| [Python] 백준 - 25308 방사형 그래프 (3) | 2024.07.20 |
